
摘要:中国箫笛的制作,自古以来都是凭借经验;即使是公式,也全都是经验公式,公式虽然具有可操作性,可不具有严密性。笛子制作和演奏技艺的发展,特别是现代音乐声学的发展,促使不少人对制作无法规范化的笛子进行规范的制作公式的探索,赵松庭先生的《横笛频率计算与应用》就是比较突出的实例。本文在肯定赵先生"公式"成就的同时,也指出公式的不足,意在引起物理学家的注意,促使"制笛公式"完善。
1956年,赵松庭先生随浙江省歌舞团在南京人民大会堂演出,一曲《早晨》使我倾倒。优美的旋律和以娴熟技巧所描绘的意境,真让人无法忘怀;当时笛子上所借用的唢呐“循环换气”法,更是让人称绝。这技巧不仅仅是笛子演奏技巧的一大突破,而且也是管乐器演奏技巧的一大突破因为这一技巧后来被长笛、萨克斯管等管乐器演奏所借鉴,解决了演奏长乐句运气不足的困难
笛子制作研究的科学化,目的旨在要求所制之笛有脆亮的音色、宽阔的音域和良好的音准。为了获得宽阔的音域,赵先生设计了排笛;为了力求所制之笛能有良好的音准,赵先生与其胞弟——复旦大学物理系教授赵松林先生,研究了“笛子制作计算公式”
中国的箫笛制作,自古以来是靠经验。1959年、轻工业部组织全国乐器试点组、总结北京、天津、苏州等地区的制笛经验,确定了"定调笛"制作尺寸。定调笛的制作尺寸和音准要求(依据国际标准音和十二平均律为音准标准)虽然有了明确的规定,但是并不等于音准就有了保证. 因为规定的尺寸,所据的仍然是经验
我国古代的箫笛制作,明确规定音孔位置和音高标准的,一件是公元274年荀勖所制定的“笛律",并按照此"笛律"制作的"泰始笛";另一件是初唐吕才制作的尺八、现代依据公式和具体音准制作的乃是20世纪30年代“今虞琴社”彭祉卿设计的“雅箫”。这三件乐器中就彭祉卿的“雅箫”来说,虽然讲述了各个音孔的定位方法,标准音为c1(黄钟箫)和升c1(大吕箫)、实际上所宗的仍然是经验,凭借的绝不是物理声学理论。有关“泰始笛”和“雅箫”制作的阐述比较繁琐、且与本文关系不大,故不作讨论,实际上“泰始笛"和"尺八"所述的乃是直笛,而不是横笛;"雅箫”当然是道地的箫了 尽管直笛(以及箫)同横笛的声学性质完全相同,音孔定位的方法也十分接近、但毕竟还是存在着不小的差异 中国有句老话:"差之毫厘,失之千里",直笛(包括箫)的制作公式即使十分科学,也绝对不能照搬到横笛上来 赵先生对横笛频率公式的推求,当属开拓性的研究
按照一般声学理论推导,笛子基音孔的频率公式应该是:

公式(1)中的f为频率,C为声波速度,l为筒音的气柱长,C0为一个标准大气压下摄氏零度时大气中的声波速度,L0为从吹孔至调音孔的管长,α为常数——温度每增高一摄氏度,声波速度增加61cm.t为温度,Δ为管口校正量,33145cm为摄氏零度时一个标准大气压下自由空间的声波速度。
频率公式(1),又可衍化成以下笛子制作的管长(从吹孔到调音孔)公式:

(1)式还可以衍化成音位(音孔位置)公式:

式中的k为生律法,在十二平均律则为
,n为某音孔之音同基音孔之间的半音个数。
从表面上看,公式(3)简单、明了;实际上操作起来却很难。原因是公式中的声波速度为自由空间的速度,而笛的内径很小,管内的声波速度是否能等同于自由空间速度、这是需要验证的;如今却没有人测算验证。这是其一。其二是管口校正量△的值难以确定。国外曾有专家对笛管各音孔的频率进行过测算。因为某音孔的位置、同该音孔下方音孔的大小,以及下方音孔同该音孔之间的距离,对该音孔的频率都有影响,因此
。笔者也见过一些声学著作,将过去一些著名物理学家通过实验所取得的数据,归结出笛子的音位(音孔)公式,但是这些公式都过分繁难,根本就无法实际应用。
赵松庭先生推求笛子制作公式,是想努力将声波理论同实验所测得的数据结合起来,力图从理论上增强公式的可信度,同时更希望公式应用起来简便而具有可操作性。可惜赵先生没能更深入地研究下去,以至于让公式停留在有待进一步完善的阶段。但是赵先生的研究思路,无疑是具有开拓性的。
赵先生认为,笛子是"开管乐器",因为笛子气柱的两端是与外界大气相接的,因此气柱的两端都应该进行校正。既然笛子的两端都与外界相接,它就该有两个校正量,即:管端校正量和末端校正量。
这儿需要说明一下,物理学家们早就将管乐器分成"开管"和"闭管"两类。由于"开管"、"闭管"问题,涉及形形色色的管乐器的形态及不同的声学性质,其复杂性非三言两语所能说清楚,因此就不作讨论。尽管如此,箫笛气柱振动时两端都需要进行校正,所应校正的情况,与赵先生所说是完全吻合的。
笛子制作的频率计算,两端需要进行校正,这两个校正量分别为末端校正量和管端校正量。也就是说,上述(1)式中的Δ,乃是末端校正量δ1同管端校正量δ2之和。当求得这两个量之后,在一定的温度下,给予笛子一定的频率,笛子的音位就应该可以求得。从道理上说,这是不错的. 但就实际的操作情况来说,要准确或比较准确地确定笛子的音孔位置,却存在着不少的困难。基于这个原因,笔者认为赵先生的公式就具有很大的不确定性。实际上本人一直认为赵先生所推算出的笛子制作公式,是一个有待进一步完善的公式。
所谓公式的完善,也就是公式中所选物理量得具备确定性和可靠性。现在让我们来看看公式要具备确定性所应有的准确的物理量。笛子所需要验证的物理量有三:一是笛管内的声波速度,二是末端校正量,三是管端校正量。首先让我们先来讨论一下笛管内的声波速度。
赵先生在计算频率公式时所选声波速度,为摄氏零度时一个标准大气压下的速度:331米/秒,温度每升高一摄氏度,声波速度增快0.6米。此处又有两个问题需要讨论:一是摄氏零度时的声波速度,一般为331.45米/秒,温度每增高一摄氏度声波速度增快0.61米。那么331米同331.45米之间,音高仅差2.35音分,若以440赫兹计算,频率仅差0.6赫兹,因此是可以忽略不计的。值得注意的是,这声波速度乃是大气中的自由空间的速度,而笛管的内径都比较小,一般都在2厘米左右,其间的声波速度恐怕不能简单地等于自由空间速度,这应该是需要验证的。声波速度的减缓,会使频率降低;当然,若减小管口校正量,同样可以弥补所降低的频率。这就需要对管口校正量进行确定性的研究。
关于末端校正量,赵先生认为“有两种不同形式":末端的校正量是0.6r(r为半径),是不变的;另一种乃是各个音孔的校正量,此乃是一个变量。
尾端的校正量是否为0.6r?这0.6r的尾端校正量,那是指的标准管(两端管径相同),而末端没有调音孔的末端校正量。为此,笔者曾写过《瑞利的末端校正难适用于中国箫笛》,刊载在《星海音乐学院学报》1986年第1期上。再看看我们的笛子:末端有两个与音孔在同一平面上的助音孔,紧接着上端又有一对如"凤眼"一样的调音孔(这对孔才是末端);何况笛子用竹制作,竹子的两端存在着相当大的管径差。因此,笛子的末端校正量就不能为0.6r。不仅如此,由于竹子两端管径差的不同,其校正量也就随着变化:管径差越大,末端校正量越大。
这末端校正量究竟应该是多少?缪天瑞先生在他的《律学》中说,"比利时声学家兼乐器研究家马容(Victor Mahillon 1841—1924)”研究,"管子长度+直径≈气柱长度"[1]。这个量,很可能就是有尾孔之管子的末端校正量。这个量用以下方法就可以求得。
用一支管子,管的上端开一吹孔,其下端于不同的部位开两对“凤眼”孔,检测分别掩没前后两对孔时吹奏频率,由于管端校正量没变,即可通过频率测得其校正量。这儿有个问题,即为什么不能求得准确的量?这可能是因为吹奏时气流没法绝对稳定,或者末尾之孔的孔径不标准的缘故。可惜缪天瑞先生引用苏联嘎尔布佐夫《音乐音响学》时,无法摘录全,因此无法知其详。
另一校正量则是音孔的管口校正量。赵先生计算这一校正量,不仅末端校正量欠合理,而日连分式也嫌繁琐,再就计算之结"果"来推算其"因",也足以证明此量不尽恰当以下就L赵先生《笛艺春秋》[2]中所载"常用竹笛计算数据"为例,看看其中之不足
例如"编号6的D调笛(曲笛)"的制作数据(第一行),吹孔至第二孔的长度为24.41cm,至第三孔为23.16cm,其间距为1.25cm;音孔的半径为0.5cm(直径为1cm),那么二孔之间的间隔(不是间距)仅为0.25cm,是否太靠近而致使食、中二指无法按孔?!
又如"计算实例三",赵先生已发现其中的不当,因此有一段补充说明:"此笛全按为a1(偏低),第二孔升C2不符,为老式的"骑墙音";其他各音也普遍低于标准,但在温度为25度以上时吹奏,则基本符合,"这段说明有不合理的地方.各音孔之间的音程不等,同整体音高的偏高或偏低是两回事,虽然同样是音不准,但是实际的情形却大不一样,整体音偏高或偏低,温度适当时其音高自然会得到矫正;但第二孔的"骑墙音"决不会因为气温的改变而使音程改变
这儿又产生了一个新问题,为什么实例二没产生整体音偏高或偏低,管径增大以后就产生了整体音偏低的问题"实际上看来答案也并不难寻,这只能证明笛管中的声波速度,不能简单地等同于大气中的声波速度:由于笛子的管径偏小,粘滞阻尼大于大气,且笛管越细.阻尼越大在这种情形下,我们若找到管径的变化与阻尼变化之间的关系.岂不就解决了问题?
再如"计算实例四",赵先生又加了个补充说明:"在实际的应用中,还要注意到手指的生理条件,例如上例,第二孔(24.6cm)到第三孔( 23.39cm)之间,由于是半音,因此距离较密(实际两孔的间隔0.21cm),手指按起来不太舒服解决这个问题,可用音孔大小不同的办法,比如说:将第二孔放大.那么就可以使第一孔和第二孔之间的距离缩短。将第三孔缩小一些,就可使第二孔第三孔之间的距离放宽一些。"(以上括号内数字为笔者所加)第二、三孔之间如此狭小的间隔,仅靠收小第三孔、增扩第二孔的孔径是不行的;何况这将造成音不准。
以上所分析的乃是末端校正量,以下再来讨论一下管端校正量.
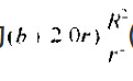
关于管端校正量,赵先生归结为
(b为管壁厚度,R为管径,r为吹孔的平均直径)赵先生说:“实验表明,这个表达式,比较符合实际"。可惜赵先生已经作古,其实验的过程已不得而知,更不知赵先生的高足中是否有人留意此道。当然,赵松龄先生是重要的参与者,但他毕竟不是演奏家,恐怕即使问及也未必能得真髓
在求管端校正量时,赵先生将管径大小、管壁厚薄和吹孔大小都考虑进去,这无疑比前人的研究前进了一大进步.但是,根据自己制作、演奏和笛律理论的推求,认定赵先生所取得的这一数据同样还有待于完善。理由是,赵先生所求得的数据是静态的,管端校正量应该是动态的 其动态具体表现为,当各人演奏方法和运气情况不同时,音律情况(包括音高和音准)也就完全不相同。其具体的表现是,同一支笛子,演奏方法不同,其绝对音高和音准情况可以存在很大差异笛子已经制成,各个音孔的位置已经固定,管口校正量也同样稳定,何以会存在绝对音高和相对音高的差异呢?答案只有一个,已经制成的笛子,演奏时还有一个量在变动,那就是管端校正量!
笛子上还有一个问题,不知有人注意了没有、即:吹奏时笛子的任意一孔的音高,都比它所固有的音高要低100音分以上!这是什么缘故?这就是吹奏口唇靠近吹孔时,已增添了管端校正量,从而使频率降低
参考文献.
[1]缪天瑞、律学[M]人民音乐出版社,1983.1996、1999·10-11
[2]赵松庭.笛艺春秋[M].浙江人民出版社,1985,(3)

