摘 要:板胡在三百多年的发展历程中,一直为各地方戏曲伴奏,尤其是梆子腔,三百年来与梆子腔共同成长、共同发展、“形影不离”,对梆子戏的声腔可谓 “了如指掌”。当板胡作为独奏乐器在舞台上呈现的时候,它仍然流淌着戏曲声腔的血液,具有深厚的戏曲声腔的文化底蕴,所表现的音乐语言必然离不开声腔的相关特点,这也是它的艺术魅力所在。因此,板胡作为脱胎于戏曲音乐的一种乐器,在其发展道路上,对戏曲声腔元素的运用和表达是它的精髓所在,故而不能脱离声腔来谈板胡演奏。
通过对板胡这一乐器的多次演奏实践以及对其相关知识的掌握,发现在演奏板胡的过程中,对声腔的高度模仿尤为重要,对此提出了“声腔思维”这一名词,并对其进行概念阐释、分类以及具体阐述各类思维的应用。同时,写作中进行了大量的学术调研并对板胡作品中的“声腔”特点进行了分析,旨在通过对相关理论层面的研究,进而为广大板胡演奏者提供理论指导和演奏经验。
本文以“声腔思维”为核心,本质是器乐演奏“声腔化”的意识体现,要想达到演奏“声腔化”的音响效果,其思维的形成必不可少,所以,声腔思维是板胡演奏“声腔化”的前提和基础,也是板胡艺术不断发展的动力和方向。
关键词:板胡;板胡演奏;声腔化;声腔思维
绪 论
1.选题由来
以《板胡演奏中的声腔思维》作为申请硕士学位的论文选题,主要基于以下几点考量:首先,胡琴“声腔化”演奏在学界广受热议,并且笔者前期对“器乐声腔化”有一定的分析与研究,师生共同撰写并发表了相关主题的论文;其次,板胡作为模仿声腔特点较明显、演奏技巧较丰富的一种乐器,缺少对相关问题的探讨,没有形成系统性的认知,更没有形成系统的方式方法;最后,在板胡演奏实践中存在不了解“声腔”相关知识,且不能较好地演奏作品中“声腔”韵味等问题,笔者将进行大量的学术调研和对板胡作品中的“声腔”特点进行分析,旨在通过对相关理论层面的研究,进而为广大板胡演奏者提供理论指导和演奏经验。
在板胡三百多年的发展历程中,一直为各地方戏曲伴奏,尤其是梆子腔,对梆子戏的声腔可谓 “了如指掌”。换句话说,板胡与梆子声腔是共同成长、共同发展起来的,长期“形影不离”,那么当板胡作为独奏乐器在舞台上呈现的时候,仍然流淌着声腔的血液,它具有深厚的声腔文化底蕴,所表现的音乐语言必然离不开声腔的相关特点,这也是它的艺术魅力所在。因此,板胡作为脱胎于戏曲音乐的一种乐器,在其发展道路上,对戏曲声腔元素的运用和表达是它的精髓所在,故而不能脱离声腔来谈板胡演奏。所以,本文将以“声腔化”这一主题为中心,深入分析板胡的“声腔化”演奏。
2.研究现状
当前学术界研究 “声腔化”的方向较多,但绝大多数的研究成果属于理论研究,结合实际的演奏和作品的较少,关于板胡演奏“声腔化”的研究也较少。通过中国知网文献检索和查阅相关书籍等,对关于“声腔化”的相关文献进行研读和梳理,大致分为如下几类:
(1)关于“声腔化”内涵的研究成果
侯太勇的《史学视角下的“二胡演奏声腔化”》以史学为视角,探求了“声腔化”的内涵,阐明了“腔韵意识”的意义,并指出了“声腔化”的局限性和盲目性。[1]吴瑕的《闵惠芬二胡艺术的“声腔化”与“润腔”研究》对“声腔化”和“润腔”的关系作了辨考,找到了二者的差异与交叉。[2]杨扬在《论二胡“声腔化”演奏》一文中将“声腔化”的概念作了广义和狭义之分,对“声腔”二字进行了更为细致的解释,阐述二胡“声腔化”演奏的前提,并对其进行展望。[3]杜亚雄的《汉族传统音乐中“音”“腔”与“节奏”的概念》[4],沈洽的《音腔论》[5] 和庄永平的《论<音腔论>》[6]系统阐述了“音腔”的概念及具体表现。蒲亨建的《“音腔”揭秘——由<音腔论>到<描写音乐形态学引论>缘起》结合沈洽《描写音乐形态学引论》的研究,基于音乐本体研究视角,对音腔的成因与性质作出全新解说[7];等等。
(2)关于“声腔化”教学的研究成果
宋飞的《戏曲音乐声腔素材二胡创编作品的演奏与教学》把戏曲音乐声腔素材创作、编写的作品分为三大类,展开论述了这几类作品的演奏和教学,并提出相应的演奏、教学方法[8];范明磊的《论“二胡演奏声腔化”对二胡教学的重要意义——以闵慧芬二胡改编曲为例》从“二胡演奏声腔化”理念、“二胡曲的改编曲目”、 “二胡演奏声腔化”在二胡教学中的具体实施三方面,讨论了“二胡演奏声腔化”对二胡教学的意义[9];林聪的《闵惠芬器乐演奏声腔化对二胡专业教学的启示》一文,通过分析闵惠芬先生二胡器乐化演奏效果和魅力,进而对二胡专业化演奏有了一定的启发,并将其与二胡专业教学结合,推动二胡专业化发展[10]。
(3)关于“声腔化”技术演奏的研究成果
张贝贝的《板胡<秦腔牌子曲>分析研究》[11]、徐婷婷《谈板胡曲<河北花梆子>中弓法的演奏特点》[12]、张军的《谈板胡协奏曲<板话>的创作与演奏》[13]、王雅雯的《浅析板胡独奏曲<宫调>的创作与演奏》[14]、张云雁的《秦腔风格音乐中板胡演奏技巧的研究》[15]等等都是对关于“声腔化”演奏的乐曲进行分析和研究,从技术角度剖析各曲。
——————
[1] 侯太勇.史学视角下的“二胡演奏声腔化”[J].中国音乐学院学报,2016(02):55-56.
[2] 吴瑕.闵惠芬二胡艺术的“声腔化”与“润腔”研究[J].音乐创作,2018(10):157.
[3] 杨扬.论二胡“声腔化”演奏[J].黄河之声,2013(19):77.
[4] 杜亚雄.汉族传统音乐中“音”“腔”与“节奏”的概念[J].中国音乐,1991(4):8.
[5] 沈洽.音腔论[J].中国音乐学院学报.1982(4).13.
[6] 庄永平.论《音腔论》[J].音乐探索,2001(1):77.
[7] 蒲亨建.“音腔”揭秘——由<音腔论>到<描写音乐形态学引论>缘起[J].中国音乐学(季刊)2018(1):125.
[8] 宋飞.戏曲音乐声腔素材二胡创编作品的演奏与教学.中国音乐 2021(2):25.
[9] 范明磊.论“二胡演奏声腔化”对二胡教学的重要意义——以闵慧芬二胡改编曲为例[J].戏剧之家,2015(7):229.
[10] 林聪.闵惠芬器乐演奏声腔化对二胡专业教学的启示.[J].中国音乐,2011(3):131.
[11] 张贝贝.板胡<秦腔牌子曲>分析研究[D].西北师范大学学报,2015.
[12] 徐婷婷.谈板胡曲<河北花梆子>中弓法的演奏特点[D].天津音乐学院硕士论文,2020.
[13] 张军.谈板胡协奏曲<板话>的创作与演奏.[J].音乐创作,2013,(05):123.
[14] 王雅雯.浅析板胡独奏曲《宫调》的创作与演奏[J].黄河之声,2019,(19):4.
——————
(4)关于“声腔化”美学的研究成果
周晓的《二胡曲<红军哥哥回来了>中的音乐审美》通过对作品《红军哥哥回来了》的审美因素进行分析,阐述其审美特征的构成,并突出其审美特征的表现[16];鄢秀丽的《二胡演奏声腔化的艺术内涵与美学意义》文章以研究二胡演奏声腔化为主题展开具体论述,在探寻二胡的历史渊源及艺术表现后,集中阐述了二胡演奏声腔化所能展示的美学特征和艺术魅力[17];沈诚的《板胡经典乐曲三十首》对板胡的三十首经典作品进行综合阐述,大篇幅以美学的角度剖析各曲[18]。
以上研究成果对本论文的撰写有一定启发,对本论文的理论阐述和实践演奏分析具有一定的借鉴价值。
3.研究目的和意义
从已有的相关文献来看,多数研究仅就“声腔化”的一方面进行研究(仅侧重理论或实践),如“声腔化”的内涵、教学、技术演奏、美学等方面,对“声腔化”全方位研讨的文献数量不足。笔者通过对板胡这一乐器的多次演奏实践以及对其相关知识的掌握,发现在演奏板胡的过程中,对声腔的高度模仿尤为重要,对此提出了“声腔思维”这一名词,并对其进行分类以及具体阐述相关思维的应用,以致于提高板胡演奏者的艺术修养和实践能力。
——————
[15] 张云雁.秦腔音乐风格中板胡演奏技巧的研究[D].天津音乐学院硕士论文,2016.
[16] 周晓.二胡曲<红军哥哥回来了>中的音乐审美[D].陕西师范硕士论文,2016.
[17] 鄢秀丽.二胡演奏声腔化的艺术内涵与美学意义.[J].成都师范学院学报,2020(5):70.
[18] 沈诚.板胡经典乐曲三十首.[M].人民音乐出版社,2006(07).
——————
第一章 声腔思维的提出
板胡在发展为独奏乐器之前的较长一段时间内都是为戏曲声腔服务的,对戏曲唱腔起着烘托氛围、伴唱带唱、保证唱调、衬托韵味、填补停顿或气口等作用,板胡在很大程度上遵循了戏曲声腔艺术的基本规则,声腔艺术的不断完善也丰富了板胡的演奏技法,为板胡的发展奠定了一定的基础,故而在板胡演奏中需具备一定的声腔思维,才能真正表现出板胡的独特魅力。
1.1板胡中声腔思维的历史溯源
据记载明朝时期,出现了一种提琴,它是由板面和椰壳制作的乐器,比较类似于板胡的形制,在昆山腔乐队中长期使用,还经常在昆曲清唱伴奏和丝竹乐合奏中使用。多年以来,板胡在民间流传中处于自生状态,它随着明末清初时期梆子腔的兴起而被广泛地使用,并流传和发展起来。
板胡为何能伴随梆子腔的兴起而发展呢?首先,唐宋时期我国的拉弦乐器开始出现,起初为奚琴并不断演变,其多为板面拉弦乐器,主要特征是以木板面振动发声,到明清时期在乐器的各方面都有较大的发展,该时期产生了皮革面胡琴,在制作、发音、演奏技巧等方面都相对成熟了,并形成了当地群众的听觉习惯,在拉弦乐器中仍然占据主要地位,比如早期的北方梆子腔主要乐器多为二股弦、板胡、板面月琴、板面三弦等;其次,元明时期,戏曲声腔分为南北两大派别,北派多表现为遒劲高亢的风格,南派多表现为婉转细腻的风格,北方梆子腔具有“唱腔旋律高亢、节奏明快、情调或激越或凄楚”的音乐特点[19],而板胡则具有嘹亮饱满的音色,既善于表现激越高亢、热烈欢腾的情绪,也善于表达悲壮深沉、细腻婉转的情感,具有较强的歌唱性和抒情性,与梆子腔、地方小戏及民歌有许多共同之处;最后,拉弦乐器的音域与人声演唱基本一致,能够高度模仿人声,在戏曲声腔的伴奏中明显优于其他乐器,虽然在戏曲音乐中为伴奏角色,起到辅助作用,却有人声演唱达不到的效果。通过研读梆子腔的著作可知,梆子腔在多年的发展与演变过程中,板胡这一乐器不仅被多种新兴的梆子剧种所接受,而且流传、运用于多地的民间音乐、歌舞音乐、说唱音乐中。
——————
[19] 沈诚.板胡流变论.[J].乐器,2003,10:16-17.
——————
板胡在戏曲音乐中主要起着托、保、衬、垫、补等作用,即对演唱者演唱曲调的音高、强弱、速度、节奏等方面加以提示和制约,在速度上加以控制和引导,使演唱有所依托和凭借。[20]还可在戏曲音乐的引子、过门、行弦、尾声中发挥着启示、烘托、补充的作用,可补表演者情感未尽之意。
因此,板胡脱胎于戏曲音乐逐渐演变为独奏乐器的发展过程中,得益于它擅于表现戏曲声腔韵味的优势,同时这一优势也被作曲家大量应用到独奏作品中,体现出来了板胡的独特魅力。
1.2声腔思维的价值
有位哲人曾说:“认知决定思维,思维决定行为,行为决定结果”这则格言道出了思维的重要性,而人类行为的形成需要思维活动才能产生,故而思维活动是行为形成的前提,尤为重要。音乐的表达亦是如此,音乐的呈现实质上是“音乐思想—音乐行为—音乐表达”的转化过程,其中音乐思想通过一系列思维过程,与文化中的概念因素紧密相关;音乐行为与社会文化密切相关;音乐表达与物质文化密切相关。[21]
大约三百年前,板胡与梆子声腔是共同成长、共同发展起来的,当板胡作为独奏乐器在舞台上呈现的时候,它流淌着声腔的血液,已具备了深厚的声腔文化底蕴,所表现的音乐语言必然离不开声腔的相关特点,这也是它的艺术魅力所在。因此,板胡作为脱胎于戏曲音乐的一种乐器,在其发展道路上,对戏曲声腔元素的运用和表达是它的精髓所在,故而不能脱离声腔来谈板胡演奏。板胡具有演奏戏曲声腔韵味的独特优势,且大量作品中均需要体现声腔韵味,因此,板胡演奏中声腔思维的形成就显得尤为重要了,即就板胡演奏者而言,需要学习相应的戏曲基础知识,最重要的是,了解并掌握“声腔”的特点,而且能够较好地运用相关演奏技巧表现出戏曲声腔的韵味,以达到作曲者的目的。
综上所述,形成必要的声腔思维是板胡演奏的前提和基础,也是板胡艺术不断发展的动力和方向。
——————
[20] 张云雁.秦腔音乐风格中板胡演奏技巧的研究[D].天津音乐学院硕士论文,2016:4
[21] 曹本冶.“声 /声音”“音声”“音乐”“仪式中音声”: 重访“仪式中音声”的研究[J].音乐艺术,2017(2):7.
——————
第二章 声腔思维的概念与分类
本章节将根据戏曲声腔的主要特点,从四个思维方向出发,对本文所要论述的声腔思维进行具体的概念阐释和分类。
2.1声腔思维的概念
所谓声腔,是体现戏曲唱腔中语言特征和音乐风格的专用名词,最普遍的一个概念是戏曲语言性和音乐性的风格,本文研究的范畴是狭义上的梆子声腔,如秦腔、河北梆子腔、河南梆子腔等。
所谓思维,是指客观存在于人脑意识中间的,经过一定的大脑活动,最终形成一种观念或观点,是人脑有意识地对客观现实的反映,如生活中常说的反向思维、批判性思维等。
声腔思维是板胡演奏者在对声腔艺术(乐曲中所运用的声腔元素)的掌握之后从中抽象提取出主要特征,并在演奏过程中形成的一种要表现声腔的意识,演奏者主动地、下意识地运用各种演奏技巧尽可能地模仿这些声腔特征,以达到作曲者的创作初衷。然而,在板胡作为独奏乐器的发展历程中,涌现出一批批优秀的演奏家,如刘明源、张长城等,他们在演奏与“声腔”有关的旋律时,将“声腔”的特征性音调和旋律提炼并凝结为一种声腔意识,并在不断的传承过程中形成相对固定的演奏技法,以达到与声腔腔调较相似的音响效果,即二十一世纪初闵惠芬先生所提出的“器乐声腔化”,他们已将本文所要论述的声腔思维演绎成板胡演奏的范式,即相对固定的奏法。这种演奏范式是笔者所要表达的声腔思维的一方面,另一方面要将这种演奏范式与戏曲声腔相结合,究其肉体振动(声腔)到板面振动(板胡)的微妙之处。
侯太勇认为闵惠芬理论研究的重要核心是二胡“化声腔”,并不是“声腔化”,换句话说,二胡的演奏要将“着意于”“声腔”“神韵”进行“化合”,即要具有 “腔韵意识”。[22]他提出并讨论的是“腔韵意识”而不是“声腔化”,与本文“声腔思维”的侧重点有相似之处。
简单地来说,声腔思维是对戏曲声腔的一种模仿,但并不是简单的模仿,也具有人声无法表现出的器乐魅力,需要融入演奏者内心的情感,是对戏曲声腔的器乐化创作,其本质是器乐演奏声腔化的意识体现。
——————
[22] 侯太勇.史学视角下的“二胡演奏声腔化”[J].中国音乐学院学报,2016(02):55-56.
——————
2.2声腔思维的分类
梆子腔的音乐特点主要表现在旋律、节拍、速度、装饰音、乐句上,本文根据其主要表现对象将声腔思维分为四类,分别为腔调思维、调式思维、板式思维、结构思维。
腔调思维是根据戏曲音乐中声腔的带腔特性拓展出来的。这里特指狭义的声腔腔调,即各声腔中带腔的音调,其源于汉民族传统音乐音体系,主要依靠音自身的变化,是声腔中音的内部变化。声腔腔调是一种与特定地区的音乐表现意图紧密相关的,并包含某种音高、情绪、力度、音色变化成分的音过程的特定样式,是一种整体结构,汉民族传统音乐音体系的传统观念中早有体现,如民族器乐上的吟揉绰注、摇棉腔、喇叭腔等。[23]简单地说,音与音之间构成的是“跃迁”关系,其“形态”可视为“折线状”,而腔调体现为 “递变”关系,其“形态”可视为“曲线状”[24],这也是腔调的独特之处。
调式思维是根据梆子腔系中运用不同的特性音产生的调式变化而衍生出来的。梆子腔系的各剧种多使用七声音阶,多数梆子腔剧种常用五声徵调式或七声徵调式,由于不同的梆子戏中运用了不同的特性音,引起调式的变化,从而体现出各地的音乐风格。
板式思维是根据戏曲音乐多以各种板式组合而成的套曲延伸出来的。板式通常指节拍的形式,梆子腔的板式主要分为无眼板、一眼板、三眼板和散板,各种板式可组合使用。
结构思维是根据戏曲音乐整体的结构布局推理出来的。梆子腔在发展过程中也遵循着唐宋大曲及曲牌联缀(如昆腔)等“散、慢、中、快、散”的速度变化技巧,包括板胡在内的绝大多数乐器在独立发展的过程中,独奏作品多运用了“散、慢、中、快、散”的速度变化方式。
概而言之,声腔思维可理解为,在板胡演奏中将对声腔特点表达的意识层面转化为演奏行为,以达到“器乐声腔化”的目的。
——————
[23] 沈洽.音腔论[J].中国音乐学院学报.1982(4).13.
[24] 沈洽.音腔论[J].中国音乐学院学报.1982(4).13.
——————
第三章 板胡作品中声腔思维的应用
英国哲学家维特根斯坦曾指出“要确定一个概念的真实内涵,应该到这一概念的实践中去寻找答案。”[25]本章节将结合板胡的实际演奏,进一步论述四种声腔思维的应用情况,意在探索如何更好地表现板胡演奏中戏曲声腔的韵味。
3.1腔调思维的应用
腔调思维中“腔调”是指音乐语言表达的音调或声调,在平时生活的交流沟通中也经常使用,即同一句话使用不同的语气,将会表达不同的意思,例如:教师在询问学生某一道客观题的答案时,学生回答说“选 A。”,教师可能会说“这道题选 A。”或“这道题选 A?”。因此,腔调的使用不仅是语言沟通的艺术,更是一种音乐风格的体现。
由于政治环境、经济状况、文化习俗、地理位置等因素的不同,尤其受到当地方言和本地群众性格的影响,各个地方形成了不同的戏曲腔调,形成了独具特色的音乐风格。板胡风格的地域性主要集中在河南、河北、陕西、山西等地区,以下就这几个地区音乐的音腔特点进行阐述。
3.1.1陕西秦腔风格音乐的腔调特点
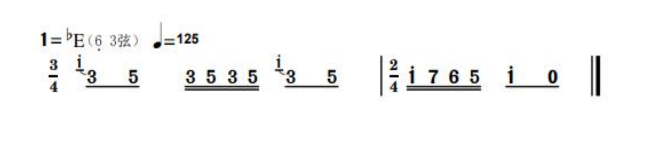
秦腔风格音乐粗犷奔放,慷慨悲壮,强劲激越,这与陕西宽广的大地和西北人豪迈泼辣的性格密切相关。板胡作品主要运用秦腔和碗碗腔的音乐素材,板胡演奏中多用搂弦、压揉、滑揉,特性音为降 si(略高于十二平均律的降 si)和 fa(略高于原位 fa),特色腔调为 re-sol、re-fa 及特性音加技法的音效,如图 3.1 所示,第 1、2 小节 si-do 分弓演奏,配合右手运弓,突出陕西人民群众的豪迈强劲的性格;第 2 小节 re-sol 及 re-fa 在板胡上演奏时运用压滑弦,慢板部分运弓需舒展,注意强弱对比。再如图 3.2 所示,第 2 小节在 fa 上做 re-fa 滑音,垫弓及压揉技巧,突出秦腔的音乐特色。又如图 3.3 所示,第 1、2 小节 do-la 及 la-do 做滑音,该部分板胡演奏时需表现出碗碗腔的细腻委婉。
——————
[25] [英]路德维希. 维特根斯坦《哲学研究》.蔡远译.北京:中国社会科学出版社.2009:23.
——————

图 3.1《秦腔曲牌》片段

图 3.2《秦腔曲牌》片段

图 3.3《红军哥哥回来了》片段
3.1.2河南梆子腔音乐的腔调特点
河南梆子腔音乐风格激昂奔放,直爽率真,刚劲有力。板胡演奏中多运用大滑音、大滑揉、回滑等演奏技巧,特性音为 si 和升 fa,特色腔调为 mi-sol,la-si及特性音加技法的音效,如图 3.4 所示,第 2 小节在板胡上演奏时从 re 大滑到 sol,随后再大滑至 si,体现出河南人民群众豪爽性格;第 4、5 小节连续做 mi-sol 的小 三度滑音。

图 3.4《河南梆子腔》片段
再如图 3.5 所示,第 2 小节 la-si 做捻指滑音,板胡演奏时两手指交替滑动,模仿河南方言语调;第 2、3 小节在升 fa 上做较大幅度的滑动并配合一定的压弦技巧。

图 3.5《河南梆子腔》片段
3.1.3河北梆子腔音乐的腔调特点
河北梆子腔音乐风格激越高亢,慷慨悲忍。板胡演奏中多以垫弓、颤弓烘托气氛,以滚揉、压揉表现抒情部分,特色腔调为小三度滑音 mi-sol,sol-mi、四度滑音 sol-do、小六度接小三度滑音 do-mi-sol。如图 3.6 所示,第 1 小节的 mi 在板胡上演奏时需要做出 sol-mi 的小三度滑音,甚至可演奏为 mi-sol 作 mi 的倚音;第 3 小节演奏 la-mi,mi-si 时滑音要舒展、连贯、自然。

图 3.6《河北风》片段
再如图 3.7 所示,第 1-2 小节在板胡上演奏 sol-do 时,滑音需轻快,同时注意重音的处理;第 3-5 小节 do-mi-sol 是较特别的滑音技法,也称为抓弦,此处为切分音节奏,重音在 do 上,在板胡上演奏 do 时四个手指全放置弦上,随后整体下滑至一指按 mi(同时右手运弓要有爆发力),最后做 mi-sol 滑音。如图 3.8 所示,第 1 小节的 do-mi 也做抓弦处理,此处重点放在 mi 上,抓弦的速度较快。

图 3.7《花梆子》片段

图 3.8《河北风》片段
3.1.4山西上党梆子音乐的腔调特点
山西上党梆子唱腔粗犷豪爽,风格激越奔放,以板腔体为主,也用曲牌体。在演奏中板胡多用上滑、下滑、回滑及垫弓等技巧,如谱例 3.9,mi、sol、si 及其在不同把位互换时产生的移把滑音为上党梆子特性音程上,常有不同方向的滑音伴随,不仅可使音乐风格得以强化,同时也可使曲调连贯而流畅。

图 3.9《宫调》片段
由于各地区不同因素的影响,形成了独具特色的音乐风格,演奏者首先要清楚自己演奏的乐曲运用或借鉴了哪个地区的音乐元素,乐曲属于哪个地区的风格性作品,运用的各种技法也需要根据地区的风格特点加以变化使用。
3.2调式思维的应用
对于民族音乐而言,演奏不同调式的乐曲需要具备调式思维,演奏戏曲声腔也不例外,调式决定了乐曲的风格体系,梆子腔系的各剧种多使用七声音阶,多数梆子腔剧种常用五声徵调式或七声徵调式,由于不同的梆子戏中运用了不同的特性音,引起调式的变化,从而形成了各具特色的地方风格。本节以秦腔、河南梆子腔、河北梆子腔和上党梆子为基础,注重分析其调式特点。
3.2.1陕西秦腔风格作品的调式特点
《秦腔曲牌》是板胡最具陕西音乐风格的经典作品之一。谈到秦腔音乐则必定要涉及欢音腔和苦音腔,它们使用调式为七声徵调式,是秦腔音乐的独特魅力所在,也是两种截然不同的音乐风格。
欢音又名花音、硬音,欢音腔使用的音阶为 sol la si do re mi fa sol,主要强调 mi、la 两音,常表现为明朗轻快、干脆坚决等情绪,如图 3.10 所示,第 1、 3、6 小节强调 la,第 5、7 小节强调 mi,且欢音腔调式中的 fa、si 为十二平均律中的音高,在板胡上演奏时由于整体速度较快,各音上几乎不使用过多的技法,给人以干脆有力、果断轻快的听觉感受。

图 3.10《秦腔曲牌》片段
苦音又名哭音、软音,苦音腔使用的音阶为 sol la 降 si do re mi fa,主要强调 fa、降 si,主要体现悲情色彩,多用于表现悲壮激昂、低沉凄楚等情绪,如图 3.11 所示,第 1、2 小节的降 si 在板胡上实际演奏时应演奏为微降 si,即实际演奏音高介于十二平均律中 si 与降 si 之间,多用滑音、揉弦等技法。

图 3.11《秦腔曲牌》片段
再如图 3.12 所示,第 5 小节 fa 也可突出苦音唱腔色彩,在 fa 上多用垫弓技法,在板胡上演奏时要注意对节奏和时值的把握,演奏时通过手腕的迅速抖动来完成,具有较强的灵活性,其抖动的幅度不宜过大,否则效果不突出,还会导致节奏上失误。

图 3.12《秦腔曲牌》片段
3.2.2河南梆子作品的调式特点
《河南梆子腔》是板胡作品中最具河南音乐风格的作品,其特性音为 si 和升 fa,全曲使用的调式为七声 C 徵调式,所运用的音阶为 sol la si do re mi 升 fa sol,如图 3.13 所示,在板胡上演奏时注意特性音升 fa,在特性音上做较大幅度的滑动,并使用一定的压弦技巧,做出一种内心纠结难过的音效,凸显出河南的风格性音乐;乐曲中还有特性音 si 的演奏,注意各音程的关系和色彩,准确把握音准。

图 3.13《河南梆子腔》片段
3.2.3河北梆子作品的调式特点
次高音板胡曲《河北风》是一部表现河北音乐风格的板胡力作,全曲由引子、快板、慢板、快板四部分组成,全曲基本使用的调式为降 B 徵调式(音阶为 sol la do re mi 升 fa sol)和七声降 E 宫调式(音阶为 do re mi fa sol la si do)全曲在演奏时需要注意升 fa 特性音与其他音构成的音程关系,如图 3.14 所示,第 2小节在板胡上演奏时注意 la-升 fa 为小三度音程,而且全曲的特性音升 fa 都是这样呈现的,故而 la-升 fa 的演奏尤为重要。

图 3.14《河北风》片段
3.2.4山西上党梆子作品的调式特点
次高音板胡曲《宫调》是根据上党梆子的音乐素材创作而成的,旋律激昂高亢,一气呵成,表现了上党地区人民热情、执着以及坚强率真的性格。其调式特点是缺少 IV 级的六声宫调式,所使用的音阶为 do re mi sol la si do,全曲无变化音,准确掌握各音程色彩的同时,着重体现核心音调 do-si-la-re,如图 3.15 所示,该部分以 do-si-la-re 为动机,音乐刚劲有力,节奏紧凑、一气呵成,在板胡上演奏时准确把握核心音调中小二度-大二度-纯四度的音程变化,注意切分节奏型,合理分配和使用弓段,如第 1 小节两拍间有连音线,也可视为切分节奏型,在演奏 do时将弓子运到弓尾,为接下来的演奏作准备。

图 3.15《宫调》片段
本节以板胡相关风格的代表性作品为例,具体阐述了各地区音乐的调式特点,在演奏过程中演奏者需根据演奏的乐曲风格,了解并掌握其调式特点,培养自己的调式意识,形成必要的调式思维。
3.3板式思维的应用
板式思维是由于梆子腔戏曲多以不同的板式组合构成的套曲延伸出来的,主要板式有无眼板、一眼板、三眼板、散板等板类,板式种类不同,表现的音乐效果亦不尽相同。
3.3.1无眼板的应用
无眼板,即板与板之间如流水般不间断,亦称快板、剁板、流水板,现多用 1/4 拍记谱,速度较快,一气呵成。如图 3.16 所示,该乐句需要注意休止符的时值,如流水般节拍不间断地演奏,节奏感较强。

图 3.16《板话》片段
再如图 3.17 所示,该乐句运用了戏曲唱腔中的七字句句式,运用不规则的节奏交错映射出二、三拍子的节拍交替,速度急促,营造出更加热烈的情绪,将音乐推向高潮。[26]

图 3.17《宫调》片段
3.3.2一眼板的应用
一眼板,即有板有眼,板眼相间,亦称原板,一板一眼,现多用 2/4 拍记谱,常用于叙事和抒情,速度可快可慢。如图 3.18 所示,该乐句情绪为深情地,第 1小节 fa 的第二拍后半拍演奏为 fa-mi 的小滑音,第 2 小节的 fa 同样演奏为 fa-mi的滑音;第 5 小节 si-re 的滑音需要演奏得圆润细腻;整个乐段的长音(空弦音除外)的揉弦频率不宜过快,否则会影响情绪的表达。

图 3.18《秦川行》片段
——————
[26] 王雅雯.浅析板胡独奏曲《宫调》的创作与演奏[J].黄河之声,2019,(19):4.
——————
3.3.3三眼板的应用
三眼板,即有板有眼,板少眼多,亦称慢板,现多用 4/4 拍记谱,适于抒情咏唱,速度缓慢,如图 3.19 所示,第 1、3 小节的微降 si 和 do 需要使用揉弦技法,以达到一丝思念和不舍的苦涩;第 2 小节,sol 到高音 do 演奏时作小渐强,第 3 拍的 sol 打音时要均匀;第 3 小节第 3 拍的 sol 演奏时作小滑音技法,第 4 小节最后两拍使用弹弦技法,用左手的一二三指完成,指法为三二一一三二一一,左手弹弦的同时右手运弓演奏低音 sol。该乐段在板胡上演奏时需舒缓连贯,需要表现出男女主人公在相见又离别时深情地诉说和嘱托。

图 3.19《红军哥哥回来了》片段
3.3.4散板的应用
散板,即一种速度不定,节奏不规则的自由节拍,亦常称为无板无眼、紧打慢唱,没有强弱拍之分,如图 3.20 所示,中音板胡曲《秦腔曲牌》散板部分前 3 小节以 re-mi-re-do 为动机,运用强有力的叫板表现出了乐曲的主题旋律,在运弓上需要强奏,突出力度感,体现出一种步步逼近的感觉;第 5 小节速度慢下来,为之后的慢起渐快做准备,在第 9 小节第一拍的 re 上结束该乐句;第 9 小节第二拍的 sol 演奏时要有爆发力,运弓注意突强弱的处理,同时巧妙运用弓跟与弓尖部位,处理好空间的不同力度呈现,避免出现短小的颤弓和杂音现象;第 3、4 行板胡演奏时,速度要快慢相兼,突出苦音的艺术效果,在音域的转换上要体现出高弱低强的效果,注意运弓的急和缓。

图 3.20《秦腔曲牌》散板
再如图 3.21 所示,《花梆子》散板开头分别以 sol-mi 和 si-la-sol 为动机,各乐句速度逐渐加快,在板胡上演奏时需突出音头,力度饱满,该部分运用戏曲的【倒板】腔调,音乐“松紧”自由,对比明显,具有较强的节奏特性,表现出河北梆子戏高亢的音乐风格。

图 3.21《花梆子》片段
清代乐论家徐大椿认为散板是“无节之中处处皆节,无板之处胜于有板”,民间也有“散板并非无板”之说。散板在拍子时值上有很大的伸缩性,无其他节拍均值律动的约束,具有一定的“尺寸”,这种“尺寸”源于唱词的句读和艺术语言的抑扬顿挫,所以演奏者在演奏散板时,需要对相关剧种的唱词句读和艺术语言进行一定的分析和研究。
3.4结构思维的应用
梆子腔在发展过程中,结构布局沿用了唐宋大曲及曲牌联缀等“散、慢、中、快、散”的传统音乐结构手法和板式变化原则,板胡在多年来的发展过程中,大量作品也遵循了这样的结构原则,故而在演奏板胡作品时,需要整体观照乐曲的曲式结构,整体把握乐曲的结构布局。
板胡独奏作品中关于戏曲声腔移植类或运用戏曲音乐素材类的作品结构,与二胡乐曲《良宵》、大提琴乐曲《天鹅》《爱的致意》以及西洋乐乐曲《野蜂飞舞》等作品的单一结构形成鲜明对比,板胡相关作品的曲式结构情况为:

表 3.1
如表3.1所示,板胡的多数作品基本采用了“散、慢、中、快、散”的结构手法和板式变化原则,但并未盲目地照搬其形式,而是作曲者根据情绪表达的需要,做了适当的调整和选用,使作品的呈现更加灵活多样。
除此之外,还有一些短小精炼的乐曲,虽然不能说运用了戏曲音乐的结构变化原则,但需要从整体上观照,注意情绪的转变,最明显的是速度的变化,如《对花》、《月牙五更》、《大起板》等。
除综上所述的四种思维外,还可分类出其他的思维,本文在这里不作过多的细 分了,比如,可根据唱词的基本结构和特点归纳出句读思维,因为梆子腔的唱词以七字、十字的上下对偶句为基本结构单位,乐句具有结构对称,乐节乐逗顿歇分明,
上下句呼应关系紧密,乐段划分清晰等特点,最为典型的是《宫调》的剁板部分,运用了上党梆子唱词的七字句式,基本结构为以长短相同的上下句,上句常以 mi或 la 结束,下句常以 sol 结束,过门则以 do(宫音)结束[27]。
——————
[27] 王雅雯.浅析板胡独奏曲《宫调》的创作与演奏[J].黄河之声,2019,(19):4.
——————
结 语
如今板胡在技术技巧、创作风格、教学方式等方面均存在不同程度的“西化” 现象,中国民族乐器大量移植演奏西洋乐器的曲目,有盲目“跟风”、“西化”的倾向,如《查尔达什》《阳光照耀在喀什库尔干》等,这些作品是板胡演奏无声腔化的体现,与二胡版本相比,可以明显感觉到二胡更胜一筹,尽失板胡魅力。然而, “声腔化”演奏则是更加贴近中国传统音乐文化的本土语境,能使学生将中国音乐理论学习与演奏实践有机地结合起来,让胡琴演奏与教学的发展回归中国音乐的母语语境,同时,“声腔化”演奏符合世界音乐文化发展潮流且具有较大的潜力,丰富的中国传统音乐种类与数量为板胡提供了广阔的发展空间,并蕴含着巨大潜力。[28]由此可见“声腔化”演奏有利于促进板胡音乐文化的永续发展,使其向多元化演奏与高目标教学的方向出发。
当然,板胡作品不仅仅运用戏曲声腔素材进行编创,还使用了各种曲艺、民歌等元素,有待探索其中的内涵与魅力,体会中华传统音乐文化的独特之处。笔者也会在演奏实践中不断学习,根据戏曲声腔其他的特点继续探讨,更加深入地分析,不断丰富板胡的声腔思维体系。
——————
[28] 杨扬.论二胡“声腔化”演奏[J].黄河之声,2013(19):77.
——————
参考文献
[1]侯太勇.史学视角下的“二胡演奏声腔化”[J].中国音乐学院学报,2016(02):55-56.
[2]吴瑕.闵惠芬二胡艺术的“声腔化”与“润腔”研究[J].音乐创作,2018(10): 157.
[3]杨扬.论二胡“声腔化”演奏[J].黄河之声,2013(19):77.
[4]杜亚雄.汉族传统音乐中“音”“腔”与“节奏”的概念[J].中国音乐,1991(4):8.
[5]沈洽.音腔论[J].中国音乐学院学报,1982(4).13.
[6]庄永平.论《音腔论》[J].音乐探索,2001(1):77.
[7]蒲亨建.“音腔”揭秘——由<音腔论>到<描写音乐形态学引论>缘起[J].中国音乐学(季刊),2018(1):125.
[8]宋飞.戏曲音乐声腔素材二胡创编作品的演奏与教学.中国音乐,2021(2):25.
[9]范明磊.论“二胡演奏声腔化”对二胡教学的重要意义——以闵慧芬二胡改编曲为例[J].戏剧之家,2015(7):229.
[10]林聪.闵惠芬器乐演奏声腔化对二胡专业教学的启示.[J].中国音乐,2011(3):131.
[11]张贝贝.板胡<秦腔牌子曲>分析研究[D].西北师范大学学报,2015.
[12]徐婷婷.谈板胡曲<河北花梆子>中弓法的演奏特点[D].天津音乐学院硕士论文, 2020.
[13]张军.谈板胡协奏曲<板话>的创作与演奏.[J].音乐创作,2013,(05):123.
[14]王雅雯.浅析板胡独奏曲《宫调》的创作与演奏[J].黄河之声,2019,(19):4.
[15]张云雁.秦腔音乐风格中板胡演奏技巧的研究[D].天津音乐学院硕士论文, 2016.
[16]周晓.二胡曲<红军哥哥回来了>中的音乐审美[D].陕西师范硕士论文,2016.
[17]鄢秀丽.二胡演奏声腔化的艺术内涵与美学意义.[J].成都师范学院学报, 2020(5):70.
[18]沈诚.板胡经典乐曲三十首.[M].人民音乐出版社,2006(07).
[19]沈诚.板胡流变论.[J].乐器,2003,10:16-17.
[20]张云雁.秦腔音乐风格中板胡演奏技巧的研究[D].天津音乐学院硕士论文, 2016:4
[21]曹本冶.“声 /声音”“音声”“音乐”“仪式中音声”: 重访“仪式中音声”的研究[J].音乐艺术,2017(2):7.
[22][英]路德维希. 维特根斯坦《哲学研究》.蔡远译.北京:中国社会科学出版社,2009:23.

